Instruments

Using CO2 concentration to measure air change rate

ACR CO2 TRA

Air change rate (ACR) has always been a key concept in building ventilation system management. But now, it’s become even more important – as a vital measurement in the fight against COVID-19, and against bacteria and viruses more generally.

ACR is one of the cornerstones of indoor air quality (IAQ) since the best way to keep the air inside a room healthy is to replace all of it at sufficiently regular intervals. Changing the air is the simplest and most effective way to stop pollutants, gases, particles, bacteria and viruses from building up inside a confined space. ACR, as its name suggests, represents the number of times that all of the air in a room is replaced in an hour.

CO2 as an indicator of stuffiness

Previously, ACR was measured against a table set by regulation, which recommended generic values for different types of venues and activities. But a recent paradigm shift has seen professionals acknowledge CO2 concentration as a top priority – and ACR values are now treated as targets rather than guidelines. That’s because CO2 concentration, expressed in parts per million (ppm), is the most reliable and effective measure of IAQ.

KCC TrackLog CO2

One property of CO2 concentration is that it reacts quickly to ACR – especially when a room is occupied. Since people constantly breathe out CO2, measuring concentrations of this gas allows the ACR to be adapted according to how many people are in the room – and, therefore, to the risk of diseases spreading.

Globally, recommended CO2 concentrations are between 800 and 1,000 ppm on average, with values of up to 1,300 or 1,500 ppm tolerated in some environments. It’s widely accepted that prolonged exposure to air with a CO2 concentration of 2,500 ppm or more can prove problematic.

Read our blog articles to learn more:
The importance of indoor air quality for health is clearer than ever
Air change rate: a vital measurement in the fight against COVID-19

France’s air stuffiness index

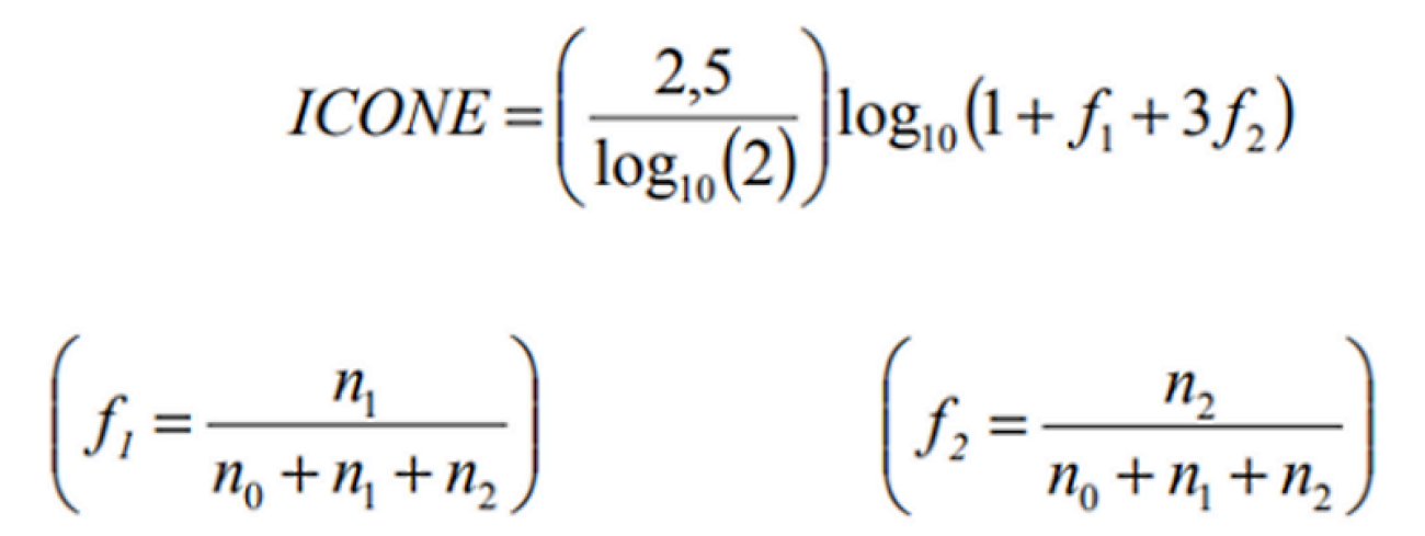
In France, for instance, the government has developed ICONE, an air stuffiness index that demonstrates the importance of CO2, since it’s based on average concentrations of the gas over time. The equipment used to measure CO2 concentrations has to meet certain requirements:

- Measurement range of 0 to 5,000 ppm
- Uncertainty of less than 50 ppm + 5% of the measured value
- Measurement resolution of less than 2 ppm
- Measurement frequency of 10 minutes or less
- Measurement storage capacity of at least 8 days

In addition, when calculating the ICONE value, readings must be taken on weekdays at the normal room occupancy level.The index operates on a scale from 0 to 5, with these two values being the extremes:

- 0 : no stuffiness = CO2 concentration of less than 1,000 ppm 100% of the time
- 5 : extreme stuffiness = CO2 concentration of more than 1,700 ppm 100% of the time

The underlying formula was developed based on extensive research by the French Scientific and Technical Centre for Building (CSTB):

ICONE indice confinement

f1 : proportion of values between 1,000 and 1,700 ppm
f2 : proportion of values above 1,700 ppm
n0 : number of values equal to or less than 1,000 ppm
n1 : number of values between 1,000 and 1,700 ppm
n2 : number of values above 1,700 ppm

ICONE value

Scale value

Meaning

ICONE < 0,5

0

No stuffiness

0,5 ≤ ICONE < 1,5

1

Low stuffiness

1,5 ≤ ICONE < 2,5

2

Medium stuffiness

2,5 ≤ ICONE < 3,5

3

High stuffiness

3,5 ≤ ICONE < 4,5

4

Very high stuffiness

ICONE ≥ 4,5

5

Extreme stuffiness

Checking ACR: a four-step process

Checking that the air in a room is being replaced as it should involves taking several readings using different instruments.

Important: These recommendations only apply to air-conditioned commercial and industrial buildings, and to controlled-atmosphere environments in particular. They don’t apply to residential buildings, offices without air conditioning systems or rooms equipped with a simple split system (a conventional stand-alone air conditioning unit).

  • Measuring the incoming air flow
    This is the first and most important measurement in the process. The aim is to check that the ventilation system is blowing enough air into the room – in other words, that the active part of the system is doing its job. The most reliable instrument for taking this kind of measurement is an air flow meter such as our DBM 620 model, which is compatible with all types of air vents.

    With its accompanying SmartKap mobile app, the DBM 620 can automatically calculate the ACR in a room based on the vent air flow readings and the overall volume of the space in question. Another option is to use a vane or hotwire thermo-anemometer to scan or zone the air vents, although this is a more laborious process. It also doesn’t work with diffusers, a type of vent that only air flow meters can measure.

DBM 620 Sauermann
  • Measuring the outgoing air flow
    In order to make sure the air is circulating properly, it’s also important to measure the air flows through the outlet vents, which work typically via passive ventilation: the air isn’t blown out of the room, but is instead forced through the vents by overpressure. The best approach for these vents is to use a vane or hotwire thermo-anemometer, coupled with a cone of the correct size. For large outlet vents (600 x 600 mm), the DBM 620 is an ideal option because it automatically detects the air flow direction, meaning it can also measure outgoing air flows.

To learn more, read our blog article and watch our webinar (in French) on air vent measurement techniques..

  • Measuring overpressure inside the room
    In controlled-atmosphere environments, checking that the ventilation system is functioning properly involves additional measurements. One option is to use a differential pressure sensor to compare the pressure inside and outside the room. Ideally, there should be a slight overpressure inside the room, although the difference shouldn't be too excessive. Anything greater than 20 Pa indicates that the outlet vents are too small or excessively clogged, or simply that the blown air flow rate is too high (and the system is therefore using too much energy).

  • Installing or checking a CO2 monitor
    At the start or end of an inspection, it’s always a good idea to use a CO2 monitor – such as our AQ 110, CO2 Stats or KCC 320 models – to check whether the ACR value suggested by the previous readings is correct. Ideally, these instruments should be used to keep this parameter under constant observation. If the previous measurements are satisfactory but the CO2 concentration is still high, this could point to other problems:

    The most likely cause is: air of poor quality entering the room (too much air recycled from the air treatment unit, a filtration issue or an external inlet vent located in a polluted environment).
    Another possible cause is: that some parts of the room could be in an air change “blind spot”, perhaps because an outlet vent is missing or not positioned correctly, leading to poor air circulation. This is why it can sometimes be necessary to map CO2 concentrations at different points in the same room, using multiple instruments.

AMI 310 Sauermann

Other things to check if there’s a problem

  • Check that the outlet vents aren’t clogged
    The first thing to check is that the outlet vents aren’t clogged (with grease, dust or similar), either on the surface or deep inside the vents. If there’s an exhaust hood, for instance, it may have a clogged filter inside.

  • Check that the air filters are clean
    Start by inspecting the air filters in the inlet vents and the air treatment unit to make sure they aren’t clogged.

  • Check that the air treatment unit fan is working properly
    If the incoming air flow is too weak, there could also be a problem with the air treatment unit’s air propulsion system. The fan motor could be worn or not working, and the fan itself could also be clogged, even if protective dust filters are fitted upstream.

  • Rebalance the ventilation system
    There could also be an issue with the building’s ventilation system not being balanced, or gradually slipping out of balance. In this case, it’s time to call in the professionals to recalibrate the system, to restore the pressure cascades in industrial environments and to optimise the system’s energy consumption.

Calculating the ACR required to achieve the target CO2 concentration

In order to achieve the target CO2 concentration, it’s necessary to calculate the required ACR – a value that depends on the interplay between various environmental parameters:

Target CO2 concentration

The ideal concentration is 800 ppm indoors (obviously, the lower the better). Values of 1,000, 1,300, 1,500 or even 2,000 ppm are tolerated in some indoor environments and under IAQ policies applicable in different countries.

CO2 concentration in the outdoor air

Remember that the air blown indoors already contains CO2, with concentrations ranging from 400 ppm in the countryside to 700 ppm in towns and cities.

Volume of the room

This is obviously an important parameter to consider. If the room is a non-standard shape, measure the length, width and height and round up to the next volume threshold in order to guarantee a sufficient ACR.

Number of occupants

When we breathe out, each breath contains CO2 at a concentration of around 45,000 ppm. All this CO2 will naturally affect the overall concentration inside the room, especially if it contains a lot of people.

Occupants’ activity

The activity of a room’s occupants will determine how much air – and, therefore, CO2 – is exhaled with each breath. This is a crucial parameter because the values involved can vary dramatically: someone doing vigorous exercise will breathe out eight times as much air as someone who is resting.


By taking these environmental parameters into account, it’s possible to precisely calculate the required ACR for a given space, i.e. the number of times all the air in the room will need to be replaced in an hour. This value will also directly influence the required air flow into the room through the inlet vents.

Add new comment

Restricted HTML

  • Allowed HTML tags: <a href hreflang> <em> <strong> <cite> <blockquote cite> <code> <ul type> <ol start type> <li> <dl> <dt> <dd> <h2 id> <h3 id> <h4 id> <h5 id> <h6 id>
  • Lines and paragraphs break automatically.
  • Web page addresses and email addresses turn into links automatically.